● Potential Fit Problems
선형 회귀 모델을 적합할 때 다음과 같은 문제점을 마주할 수 있습니다.
1. Non-linearity of the data
2. Dependence of the error terms
3. Non-constant variance of error terms
4. Outliers
5. High leverage points
6. Collinearity
각각에 대한 자세한 설명은 따로 포스팅하도록 하겠습니다.
● KNN Regression
KNN Regression은 KNN classifier랑 비슷합니다.
주어진 X 값에서 Y를 예측할 때 training data에서 X와 가장 가까운 지점의 k를 고려한 후 평적인 반응을 취합니다.
$f(x) = \frac {1}{K}\sum_{x_{i}\in N_{i}}y_{i}$
만약 k가 작다면 KNN은 선형 회귀보다 더 유연합니다.
더 낫다고 볼 수 있을까요?
● KNN Fits for k =1 and k = 9

● KNN Fits in One Dimension(k = 1 and k = 9)

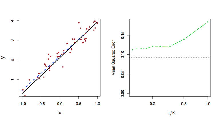
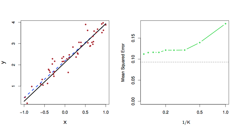
● Linear Regression Fit
MSE 그림에서 dash는 linear regression의 MSE입니다.

● KNN vs Linear Regression

● Not So Good in High Dimensional Situations
차원이 높을 수록 KNN의 MSE가 높아집니다.

'ISLR' 카테고리의 다른 글
| Ch04 분류분석(2) (0) | 2019.09.24 |
|---|---|
| Ch04 분류분석(1) (0) | 2019.09.23 |
| Chap3 회귀분석(2) (0) | 2019.09.19 |
| Chap03 회귀분석(1) (0) | 2019.09.18 |
| Chap02 모델정확도 평가하기(2) (0) | 2019.09.17 |
댓글